室内冷却的地下水箱
在我的城市(发展中国家,热潮气候),城市每天都会在水电源上转动,它填满地面坦克(6'x 6'x 8'约。),建造,我相信石工。然后,我们打开泵将其泵送到屋顶上的水中,然后在水龙头上打开房子。
I’m wondering if the underground tank would be a good source of space air conditioning using a water-water heat exchanger, an air-water heat exchanger, and a circulatory pump, in a concept similar to the “well-water heat exchanger”, except this is closed-loop.
这个想法是电源水和坦克是地球温度的大型凉爽储层。
这个主意行得通吗?它是否已经存在,如果存在,它被称为什么?
谢谢你!




答案
这在概念中与通常称为“冰冷率”的概念相似。当电力速率低(截止峰时)时,冰冷率的想法是在晚上冻结一堆冰冰,然后在电费更高时,将冰融化在白天使用它来冷却。这允许冷却器中的大型压缩机仅在高峰时运行以节省资金。
您拥有的问题是您不会有一个相变(冰水),因此与冰冷机会相比,您可以获得更少的可用冷却能力。您有更接近地热地源热泵系统的东西。冷却能力将限于地面可以下沉的东西。
如果你的计划是将地下水箱中的水通过散热器盘管循环,直接冷却空气(不涉及压缩机或制冷剂),你可以利用水的比热计算出你有多少制冷能力。基本上,你可以根据水的质量和水的比热计算出,在你把水的温度提高10度之前,你可以冷却多少空气(例如)。在构建这个之前,我会运行那个计算,以确定你是否有足够的冷却能力,对你有用。
请注意,如果这个水箱是储存饮用水,请确保你在冷却回路中使用的所有东西都是安全的饮用水。还要注意,如果你的冷却系统把水箱里的水的温度提高太多,你就会达到一个点,那就是水里的东西不太可能开始生长。这是你正在考虑的系统的另一个潜在健康风险。
比尔
谢谢比尔。是的,它旨在成为地热冷却系统。
为了澄清,坦克中的水是饮用的,但我没有通过冷却系统抽水。循环泵通过防水*热交换器泵送单独的闭环水。
*任何污染坦克中饮用水的泄漏都是一个问题。
与冰冷却的另一个差异是我不依赖于蒸发冷却(这会在已经潮湿的环境中提高湿度)。
据提高地下水箱的温度来说,这个想法是,坦克的墙壁和大表面积的导电材料会将热量沉入周围的土壤并保持水冷却。但我不确定铜管中的热量有效如何水槽到坦克墙壁和周围土壤。
进行计算是很好的建议。我现在不确定如何量化所有的变量,但我可以尝试。
但如果有人尝试过类似的方法,或者发现了问题(就像你做的那样,谢谢!),或者干脆把它当作不可能的事而不予考虑,那就太好了。
冷冻机不需要将热量倾倒到蒸发冷却塔,它们可以把热量放在任何地方。例如,我有一个客户有一个带喷泉的冷却池。
您的6x6x8脚舱是288立方英尺。每立方英尺约7.48加仑,这是约2,154加仑的水。让我们将其转换为公制单位,以使其余的计算更容易:2,154加仑约为8,154升。
水的比热是4200焦耳每千克每摄氏度。这意味着需要4200焦耳的能量来使一千克水的温度升高一摄氏度。因为一升水的重量是一公斤(告诉你公制单位会更容易:-),这意味着需要34246800焦耳的能量来提高你的地下水箱一摄氏度。我们忽略了地球吸收一些能量的能力,所以在你的特定情况下,你实际上可以在它上升1摄氏度之前,向容器中注入更多的能量,但在没有测试你的特定系统的情况下,很难知道多多少。
一焦耳等于一瓦*秒,所以将水箱升高1摄氏度需要34246.8千瓦秒。这是个愚蠢的单位,但它相当于大约9.5千瓦小时,因为一小时有3600秒。现在我们知道水箱里的水每增加9.5千瓦时的热量就会上升1摄氏度。就像我最初提到的,上升10摄氏度,这意味着你的油箱将消耗95千瓦时的能量。
1千瓦时相当于3,412 BTU。这相当于324140英热单位来提高你的油箱10摄氏度。
这是一个容易的部分,它有点简化。为了制定实际上有多少实际冷却,您需要了解散热器的热阻,这是一种测量,其基本上它在冷却空气中用透过它的凉爽水以及空气的温度来看进入该散热器。您也需要了解您的起始水温度。从所有信息中,并记住,当你正在冷却空气时,你也提高了水的温度(这反过来减少了你冷却空气的能力),你可以制定多少空气冷却了多长时间。
计算很容易,但你必须小心与你的单位保持一致,特别是具有时间成分(如千瓦时)的单位和不(如千瓦)的单位。第一个是能量数量,第二是能量率,它们是非常不同的东西。
比尔
非常感谢这个详细的答案和数字。
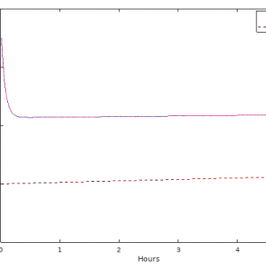
这激发了我在matlab中编写一个短脚本来模拟这个系统的性能。
我从在线找到的产品开始:
https://chillxchillers.com/aira-to-water-heat-exchangers/zephaire---peed-air-to-water-heat-exchangers?sku=zau0120500za-2.
它有12,500个BTU / HR,具有30F Delta-T。
假设这符合方程BTU/hr = x (t)得到x = 417 BTU/hr F。
然后假设房间和罐壁的热传递系数U = 0.4 BTU /(HR FT3 F),并以恒定的外部锻炼= 95F和70F的恒定地温(也是室内空气和罐的初始温度)开始水分分别为水,每分钟一次5小时,在20分钟后获得内部温度沉降至81F。水温在5小时内升高1.25°F。我将绘图附在图中作为图像。
我对此相当陌生,所以我不确定我是否在计算中犯了错误。如果有人感兴趣的情况下,我的代码是如下:
u = 0.4%热反式墙壁,BTU /(HR FT2 F)
%房间尺寸
room_dim_l = 20;%英尺
room_dim_w = 20;%英尺
room_dim_h = 10;%英尺
tg = 70;%地面温度,f
= 95;%外部环境温度,F
spec_hum = 0.033%lb / lb
C_s_air = 0.24 + 0.45 * spec_hum;% BTU /(磅)
dens_air = 0.075;%磅/发生
dens_water = 62;%磅/发生
vol_room = room_dim_h * room_dim_l * room_dim_w;%FT3
tank_dim_l = 8;%英尺
tank_dim_w = 6;%英尺
tank_dim_h = 6;%英尺
vol_tank = tank_dim_h * tank_dim_l * tank_dim_w;%FT3
分钟= 5 * 60;
tw =零(1,分钟);
ti =零(1,分钟);
Tw (1) = Tg;初始水温%
ti(1)=;%初始温度
For I = 1:(minutes-1)
通过AC%冷却增益
HAC =(417 *(TI(i) - tw(i))/ 60;% BTU /分钟
地板冷却增加%
hfloor =(room_dim_w * room_dim_l * u *(ti(i) - tg)/ 60;% BTU /分钟
通过墙壁%冷却损失
HWALLS =(((ROOM_DIM_W * ROOM_DIM_H)* 2 +(room_dim_l * room_dim_h)* 2 +(room_dim_w * room_dim_l))* u *(to - ti(i)))/ 60;% BTU /分钟
Hnet_room = Hac + Hfloor - Hwalls;% BTU /分钟
delta_T_air = Hnet_room / (c_s_air * dens_air * vol_room);
临近%新的
Ti(i) = Ti(i) - delta_T_air;
%HAC在水箱中加热水,但通过罐壁和地板的一些热量损失
由于绝热空气层的存在,从罐顶获得的热量可以忽略不计。(不是真的可以忽略不计!)
hloss_tank =(((tank_dim_w * tank_dim_h)* 2 +(tank_dim_l * tank_dim_h)* 2 +(tank_dim_w * tank_dim_l))* u *(tw(i) - tg))/ 60;% BTU /分钟
hnet_tank = hac - hloss_tank;
delta_t_water = hnet_tank /(dens_water * vol_tank);
水的新温度
tw(i + 1)= tw(i)+ delta_t_water;
结尾
小时= [1:分钟] / 60;
情节(小时,Ti,'-.k');
坚持,稍等
情节(小时,tw,'--b');
ylim ([100])
Ylabel(“温度(f)”);
Xlabel(“小时”)
传奇(“空气”,“水”);
祝贺你尝试建立模型——我们需要更多这样的模型。
>地面恒定温度为70F
地面会变热,减少冷却。
>假设这符合方程....
大多数散热器都没有,但我不知道你选择的那个。
谢谢你!绝对,可以提高模型。我可以尝试用更多的数据来做更多的数据和更多关于热物理学的研究。我认为的另一个无效假设是我对空气的持续密度。随着温度从冷却下降,这也应该改变。
>>假设这适合等式....
大多数散热器都没有,但我不知道你选的那个。
找到BTU / HR VS Delta-T的图表是很好的,但我无法找到我使用的搜索词。
这个产品说12500 BTU在30F delta-T下冷却,50000 BTU在120F delta-T下加热。
50k / 120 = 12.5k / 30 = 417
这表明(仅使用2个数据点)线性。
在美国,我会考虑“不”使用复杂的焊接铜管,在这里可能泄漏,而是使用一个长,单片线圈的PEX管,与自制框架隔开。它的热导率低得多,但你可以让它进入和离开水槽以上的水线,它更容易工作,并不是那么昂贵(70美元300英尺x 1/2“)考虑到铜管的高价格。
项目示例:一个循环蓄热水箱,用于储存多余的太阳能,并将其用于热水供应和/或循环加热:
概述:https://www.youtube.com/watch?v=ryJmtItfaXQ
绝缘:https://www.youtube.com/watch?v=bI0T7ZegAPU
PEX热交换器:https://www.youtube.com/watch?v=WwTsWUKr5VE
不过,我要让你们思考三件事。
1)冷凝水-在潮湿的地方,任何冷却系统,造成了很大的温度下降,必须处理这样一个事实,即热空气比冷空气含有更多的水蒸气;当空气显著冷却(多少取决于你的RH),低于露点,水凝结成液体。在很多不同的情况下,如果水没有收集好并迅速排干,就会产生霉菌问题。
2)水卫生——在美国,市政供水会添加氯、氯胺和其他化学物质,以防止水在分配系统内滋生细菌。美国有些地方的地面温度明显变暖,也明显变冷。随着地面温度的升高,它们会添加更高水平和不同类型的化学物质。我还没有计算出在你这种情况下,你的体温会下降多少,但我可以想象一种情况,你把储存水的温度提高到造成卫生问题的水平。也许这是一个微不足道的问题,我不知道。
3)气密性——这种系统在一个绝缘良好、密封严密的房子里很有意义,因为房子一开始就几乎不需要任何空间加热/制冷。如果两个人的卧室都开着窗户,或者椽子没有密封,或者墙壁没有隔热,那么空调系统可能需要10倍的功率。
谢谢你!所有的好点。除了我不知道我是否需要担心冷凝水,因为在我的用例场景中,稳态温度似乎高于露点。
对于具有凝结物的最坏情况,只需在运行开始时进入水温,这是您的系统将看到的最低温度,并看看它是否低于空气的露点。如果最低的起始温度不低于露珠点,则不会得到任何凝结。我的猜测是你的冷凝问题将是最小的,而你可能会看到AC设置,因为你正在处理得多的Δt值。
顺便说一下,建模做得不错。我不能提供很多关于matlab的东西,因为我从来没有使用过这个系统,自从20多年前的大学。
关于用PEX代替铜管做热交换器的意见,我建议用软铜管代替硬铜管。软铜管可以手工制作,可以让你用更少的连接放入更多的管子。如果你想做超级安全的焊接连接,你可以钎焊他们,或使用银焊料。这两种焊料都比普通焊料有更好的接合效果。
比尔
我的肠道告诉我,这不起作用。我认为地面冷却能力将以很短的顺序排出,就像几天的问题一样。这假设坦克甚至可以快速将热量转移到土壤中,这是有用的,这是另一个大问题。
我的房子里有一个类似的系统,除了我有水箱,我有管子直接埋在地上。在夏季,这用于冷却进入的通风空气。与您的情况相比,所有条件都对我有利。我在温带气候中,所以接地温带远低于你的(约10c或50f)。我冷却的进入空气可能与试图冷却的空气不同,肯定不高(25-30℃或77-86F)。我冷却的空气量绝对小于你想要冷却的量。我的系统与地球比水箱接触。即使通过所有这些,系统中的水的温度也明显在整个夏天增加,甚至在短时间内的需求(较长的户外温度较长时)。
我不确定目前是否有一种准确的方法来模拟这种东西。有很多变量随着时间而变化并且依赖于其他变化的变量。
如果你决定继续这一点,我想不出你需要将饮用水从循环中的水分离出来的原因。只需确保所有材料都被评为可饮用水。然后你不必担心泄漏和污染。如果你只是从罐中拉过冷水并返回温水,而不是使用热交换器,这可能会更有效。您可以从罐的底部绘制凉爽的水并将温暖返回顶部;分层倾向于将温暖的水保持在顶部。
将吹入坦克上方的效果来促进蒸发冷却的效果是有趣的。与光伏太阳能电池板相比,也有趣的是,连接到太阳能空调(昂贵但有效)。
你设置的一个问题是,为了让你每天都继续降温,你还必须让水回到70华氏度。水箱没有足够的表面积来传递热量,这就意味着要用掉足够多的水来降低温度。不知道它的成本和空调成本相比如何。冷却也不是完全免费的,你仍然需要运行一个泵和鼓风机。
这种设置的更大的问题是,你只是在处理合理的冷却,你的地下水只是不够冷,不足以进行大量的除湿。
在炎热潮湿的气候下,你的大部分冷却负荷是去除湿气,这个设置将做得很少。它还将显著提高内部的RH。例如,如果你将95F的空气冷却60%RH到80F,它将是100% RH。不是最舒适的房间,如果有什么比95F房间更舒适。不用担心霉菌问题。
为了处理RH,你将不得不运行一个AC单位,无论如何,也可以使用它来实际冷却。
一切都很好。感谢大家。
我认为它可能不值得建造,即使作为一个实验,除非我能弄到一些免费的可回收的部件。
这里尚未讨论的一个注意 - 坦克从电源重新填充。这将新的冷水带入系统中,基本上使其成为一个开放式系统,将温暖的水泵泵送到屋顶蓄水池中使用,并在地温度更换水中冷却水。这将提高系统性能,无论房屋的使用率如何。